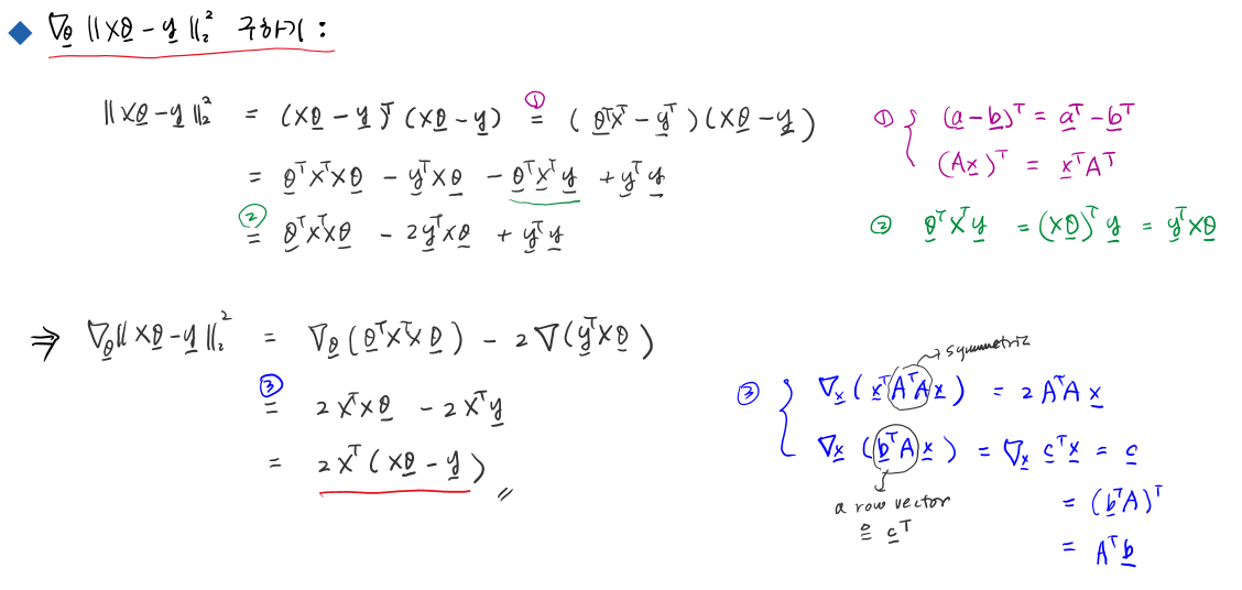
Linear Regression
Linear regression에서의 MSE cost와 그 gradient는 다음과 같다.

다음은 그 유도 과정이다.

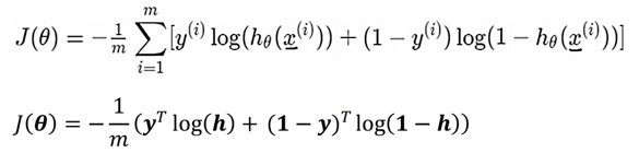
Logistic Regression
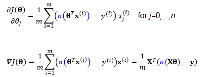
logistic regression의 cost function인 Cross Entropy(CE)의 classic form과 vector form은 다음과 같다.

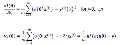
그리고 CE의 gradient를 구하면

다음은 이를 증명하는 과정이다.


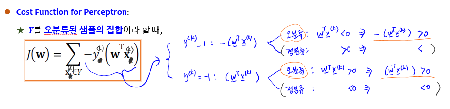
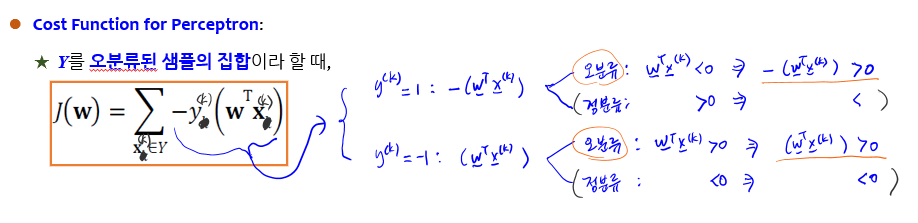
Perceptron
다음은 perceptron의 cost function이다.

이를 통해 gradient를 구할 수 있다.

Multi-Layer Perceptron
출력층

은닉층

결과적으로 다음과 같이 정리될 수 있다.

Minibatch SGD algorithm

Softmax Classifier
softmax classifier의 CE는 다음과 같다.

그리고 해당 CE의 gradient를 구하면

'학교공부 > 기계학습' 카테고리의 다른 글
| [기계학습] 가중치 감쇠 (1) | 2023.10.23 |
|---|---|
| [기계학습] Linear Regression Model (1) | 2023.10.21 |